推荐给大家一些大气科学相关的模型软件,今天主要整理了一些需求量较高的,大家可以详细了解。零基础的可以点击此链接 >>零基础学习大气污染模式(WRF、WRF-chem、smoke、camx等)

目录

一、(WRF-UCM)高精度城市化气象动力模拟技术与案例应用

二、WRF DA资料同化系统理论、运行与与变分、混合同化新方法技术应用

三、大气颗粒物PMF源解析实践技术应用

四、大气污染扩散模型Calpuff实践技术应用

五、最新CAMx-Python融合技术应用与大气污染来源解析方法应用

六、MCM箱模型实践技术应用与O3形成途径、生成潜势、敏感性分析

七、基于Python机器学习、深度学习技术提升气象、海洋、水文领域实践应用能力

八、FLEXPART拉格朗日粒子扩散模式建模技术及研究大气污染物源-汇关系中的实践经验与技巧

九、基于SMOKE多模式排放清单处理技术及EDGAR/MEIC清单制作与VOCs排放量核算

十、Python在WRF模型自动化运行及前后处理中实践技术

十一、地球科学常见数据的处理实践技术应用

十二、区域气象-大气化学在线耦合模式(WRF/Chem)在大气环境中的应用

十三、基于CAMx的空气质量模拟及污染来源解析技术与案例分析

十四、系统学习CMAQ空气质量模式

十五、高精度气象模拟软件WRF(Weather Research Forecasting)技术及案例应用

十六、CMIP6数据处理


一、(WRF-UCM)高精度城市化气象动力模拟技术与案例应用

气候变化及应对是政府、科学界及商业界关注的焦点。气候是多个领域(生态、水资源、风资源及碳中和等问题)的主要驱动因素,合理认知气候变化有利于解释生态环境变化机理及过程,而了解现在、未来气候变化则是进行生态、环境及能源评估、碳政策规划的先决条件,而气候模拟是获取高精度气候信息的最主要手段,现代生态、水文、新能源及碳中和领域需要亚公里及更高分辨率的气象模拟,WRF模式是国内外应用最为广泛的气象模式,使用该模式进行高精度甚至几百米的模拟应用也越来越多。该模式城市冠层模型(WRF-UCM)可以实现对城市中小尺度气象过程的精细动力模拟,其应用范围及实际业务及科研应用也越来越广泛。

【内容简述】:

模型基础理论
一、WRF-UCM模型介绍
二、WRF-UCM使用什么样的计算平台?计算系统?

模型平台从零安装讲解
一、如何安装WRF-UCM模式所需要的平台?(windows平台+Vmware16)
二、如何从零开始搭建WRF-UCM编译所需的系统?(RockyLinux9)
三、安装WRF-UCM从代码转为程序所需的编译器(OneApi)
四、WRF-UCM模式输入输出文件格式讲解(NetCDF)

城市模块离线模拟案例讲解
一、 驱动数据GLDAS资料获取技术
二、 驱动资料ERA5资料获取技术
三、 NoahMP-hrldas前处理案例
四、NoahMP-UCM离线模拟案例

城市模块在线耦合(WRF+WRF-UCM)模拟案例讲解
一、WRF+WRF-UCM前处理技术讲解
1.1 WRF+WRF-UCM模拟区域设置技术
1.2 WRF+WRF-UCM高程、土地利用、植被等地理数据及温压湿风等气象资料处理技术讲解

二、WRF+WRF-UCM如何模拟气象场
2.1 WRF+WRF-UCM非耦合模拟案例
2.2 WRF+WRF-UCM耦合模拟案例讲解

实际应用及案例分析
一、WRF-UCM模拟结果如何分析?(NCL)
1.1 示例1(线图)


1.2 示例(填色图)


1.3 示例(图层叠加)


1.4示例(图层排列)

二、WRF DA资料同化系统理论、运行与与变分、混合同化新方法技术应用

数值预报已经成为提升预报质量的重要手段,而模式初值质量是决定数值预报质量的重要环节。资料同化作为提高模式初值质量的有效方法,成为当前气象、海洋和大气环境和水文等诸多领域科研、业务预报中的关键科学方法。资料同化新方法的快速发展,气象常规资料、卫星遥感观测和大气环境等多种资料日益增加,为资料同化的有效应用奠定了坚实的科学基础,也导致许多新的复杂科学问题,增加了实际应用的难度。

为有效提升广大科研、业务人员的资料同化理论基础和应用能力以及研究水平,提高我国气象、海洋和大气环境等领域的数值预报业务的质量和实际预报水平。应广大气象和大气环境等领域工作者的要求,本内容以WRF DA变分资料同化系统为核心,针对实际应用中的重点和难点问题,开展资料同化理论和方法的讲解,并结合实际天气个例,致力于培养和提高大家的理论水平和实际应用能力。

【目标】:

1.掌握和理解资料同化的理论;
2.熟悉Linux环境下的配置和应用;
3.掌握背景误差协方差、物理约束关系的调优和更新;
4.掌握新观测资料同化的关键技术,如观测算子的构造、伴随程序的发展等;
5.熟悉同化结果的分析方法;
6.掌握Bash、GRADS、NCL等后处理工具进行结果处理及分析;
7.掌握在气象、环境、生态、水文等领域应用技术的拓展和方法;
8.熟练掌握WRF ETKF-3DVAR DA混合同化系统的应用;

【内容简述】:

一、资料同化的基本理论与方法

资料同化的基本概念、发展
资料同化的主要科学问题
资料同化的理论基础与早期方法
各种资料同化方案及其特点

二、WRF DA的环境需求、系统安装、调试与运行 (实践操作)

Linux基本命令的应用
Linux环境变量的设置
编译器的安装与设置
WRF DA的环境变量和动态库的配置等;
WRF DA的安装、编译及运行等。
GrADS、NCL绘图的编译安装与使用

三、观测资料与质量控制

观测资料的基本要求
常规观测资料与非常规观测
卫星资料及其同化
新型观测系统
观测资料的质量控制及一般方法。

四、WRF DA同化系统的配置、背景误差的构造

水平网格的设置;
垂直层次的配置;
物理方案、参数化方案的选取;
观测要素的选取
背景误差协方差的作用和常用的构造方法,如新息向量法(以GRAPES模式为例)、NMC方法等(WRF DA的三维变分程序为例。
背景误差的构造方法
中小尺度变分同化B的构造
混合同化中背景误差协方差的构造及其特点
混合同化中B的比例关系

五、WRF DA变分资料同化、WRF DA混合同化新方法

WRF DA变分同化的基本框架
观测算子的构造
动力平衡和物理约束的实现
伴随模式及其程序编写
解决新资料的同化应用方法。
ETKF-WRF DA混合同化方案的特点;
ETKF集合扰动方案的说明
扩展控制变量法及其设置
流依赖的背景误差协方差的构造
实例分析;

六、变分同化的单点试验、混合同化的单点试验

质量场单点试验
风场单点试验
湿度场的单点试验
流依赖属性的试验分析(结合槽和台风)
分析增量的结构与物理约束关系

七、同化分析增量的分析

不同观测资料对分析的影响
不同观测要素对分析的影响
有效观测资料的确定
分析增量的认识

八、WRF DA和ETKF-3DVAR混合同化系统的实际应用

结合实际的天气个例,重点掌握WRF DA和WRF ETKF-3DVAR混合同化系统的同化、预报的参数设置、新资料的同化方法和系统运行、结果分析,以及与其他模块的耦合等。
暴雨天气过程的同化分析
台风天气过程的同化分析

三、大气颗粒物PMF源解析实践技术应用

目前,大气颗粒物污染成为我国亟待解决的环境问题。颗粒物污染不仅对气候和环境有重要影响,而且对人体健康有严重损害,尤其在一些重污染天气,如灰霾和沙尘暴等。为了高效、精准地治理区域大气颗粒物污染,首先需要了解颗粒物的来源。因此,颗粒物源解析成为目前解决大气颗粒物污染的关键技术。为了帮助广大科研人员更加系统地学习大气颗粒物源解析的基础理论知识及相应技术,特举办“大气颗粒物PMF源解析实践技术应用高级培训班”旨在帮助学员掌握大气颗粒物理化性质等基础知识和通过PMF方法对其来源解析的技术。本次培训采用“理论讲解+案例实战+动手实操+讨论互动”相结合的方式,抽丝剥茧、深入浅出地讲解大气颗粒物PMF源解析技术的基础知识及其在应用中需要掌握的经验和技巧。

【内容简述】:

第一章、PMF源解析技术简要及其输入文件准备

1、大气污染源解析方法有哪些?
2、这些方法各自应用的条件以及它们的优缺点?
3、大气颗粒物的基础知识及各组分的主要来源
大气颗粒物的来源:

大气颗粒物的组成:

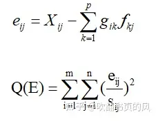
4、PMF源解析技术简介
5、PMF源解析软件的下载及安装
6、PMF输入的颗粒物组分浓度的获得
7、PMF源解析输入文件的准备

第二章、PMF源解析技术的原理,PMF软件的实操及应用举例

1、PMF源解析的基本原理

2、PMF源解析软件的基本运行

3、PMF源解析因子的选择
4、PMF源解析结果及意义

第三、章PMF源解析结果的优化及误差评估

1、Fpeak模式运行
2、Fpeak模式运行结果

3、误差评估方法简介
4、误差评估方法结果

四、大气污染扩散模型Calpuff实践技术应用

目前,大气污染仍为我国亟待解决的环境问题。为了弄清大气污染物排放后对周围环境的影响,需要了解污染物的扩散规律。Calpuff模型是一种三维非稳态拉格朗日扩散模型,可有效地处理非稳态(如,熏烟、环流、地形和海岸等)下污染物的长距离输送,对污染物浓度进行模拟预测,从而更好地判断受体点污染物的来源。模型主要包括:地形、气象数据预处理模块,Calmet模块,Calpuff模块以及Calpost模块。目前,该模型已广泛应用于大气环境质量影响评价和科学研究中。

【内容简述】:

第一章、Calpuff基础知识

1、Calpuff模型简介
2、Calpuff模型基础理论
3、Calpuff模型下载安装
1)Calpro系统安装
2)安装环境要求
3)需安装的辅助软件

第二章、数据预处理

1、 网格设置
2、地理数据预处理
1)地形数据预处理
2)土地利用数据预处理
3)地理数据合成
3、气象数据预处理
1)地面气象数据预处理
2)高空气象数据预处理

第三章、Calmet气象模块

1、 文件/信息输入
1) 输入文件
2) 输入共享网格数据
3) 运行信息填写
4) 混合层高度
5) 温度和相对湿度设置
6) 风场输入
7) 气象站数据输入
2、 运行
3、 输出
案例:某地Calmet模型具体数据的输入及运行

第四章、Calpuff模块

1、 文件/信息输入
1) 输入文件
2) 输入共享网格数据
3) 运行信息填写
4) 网格设置
5) 模拟污染物物种输入
6) 化学转化方法选择
7) 干/湿沉降选择
8) 模型参数选择
9) 源数据输入
10) 受体点位置输入
2、 运行
3、 输出
案例:Calpuff模型具体数据的输入及运行结果

第五章、Calpost后处理模块

1、 文件/信息输入
1) 处理选项选择
2) 污染物名称和浓度场数据输入
3) 输出选项选择
2、 运行
3、 数据分析
案例:Calpost后处理模块具体数据的输入及运行结果分析

第六章、Post Tools 后处理工具及绘图工具

1、Post Tools 后处理工具
1)Prtmet气象后处理模块
2)Append后处理模块
3)Postutil后处理模块
4)Calsum后处理模块
2、绘图工具
案例:浓度数据绘图举例

五、最新CAMx-Python融合技术应用与大气污染来源解析方法应用

随着我国经济快速发展,我国面临着日益严重的大气污染问题。大气污染是工农业生产、生活、交通、城市化等方面人为活动的综合结果,同时气象因素是控制大气污染的关键自然因素。大气污染问题既是局部、当地的,也是区域的,甚至是全球的。本地的污染物排放除了对当地造成严重影响外,同时还会在动力输送作用下,极大地影响下风向地区的大气环境状况。数值模式模拟是分析大气污染物时空分布和成分贡献的重要工具,利用模拟结果可以分析大气污染的来源、成因、污染程度、持续时间、主要成分、相对贡献等问题,有助于分析并合理控制污染源排放,为产业调整提供参考。当前,针对不同理论、用途和设计理念,国内外已经研发出了多种空气质量模式。这些模式被广泛应用于空气质量预报预警系统建立、大气污染防治、环境影响评价等工作中。

CAMx模型是一个基于大气化学,针对臭氧、颗粒物和雾霾天气过程的大气污染物计算模型。该模型由安博(Ramboll)技术团队在美国国家环保局和许多州立环保部门的支持下不断开发和完善。美国国家环保局利用CAMx来评估国家减排计划带来的臭氧和PM浓度降低效果,很多州则使用CAMx来制定当地的减排计划。在过去的20年里,该模型也逐步应用于亚洲(包括中国)、欧洲、非洲、澳大利亚和美洲等多个国家和地区。

【内容简述】:

CAMx模式框架、应用案例分析及本地案例配置说明

1.CAMx模式框架
2.CAMx应用案例分析
3. 多重嵌套模拟区域配置说明及方法
4. 基于SMOKE模型的CAMx污染源输入文件制作技术

Linux基本操作命讲解与CAMx模式编译技术及空气质量模拟案例分析及运行

1.Linux基本操作命令讲解与依赖库安装
2.CAMx模式编译安装及测试案例运行
3.CAMx输入预处理工具编译技术
4.CAMx输入文件制备
5.空气质量模拟案例运行讲解与分析

CAMx扩展和探测工具功能及在模式调试和案例分析中的用法

各工具功能,依据在模式调试和案例分析中的用法。
1.CAMx扩展和探测工具(Probing Tools)
2. 臭氧/颗粒物来源解析工具(SA)
3.敏感性分析工具:DDM/HDDM
4. 过程分析工具(PA:IPR/IRR和CPA)
5. 反应示踪物(RTRAC)

大气污染来源解析案例操作(臭氧/颗粒物来源解析工具(SA))

臭氧/颗粒物来源解析工具(SA)
1.CAMx-SA工具编译
2.CAMx-SA工具输入文件准备(1)area map
3.CAMx-SA工具输入文件准备(2)emission groups
4.CAMx-SA案例配置及运行
5.模拟结果后处理与结果解读

敏感性分析及工具运行与模拟结果后处理技术及结果解读

敏感性分析工具(DDM/HDDM)
1.CAMx-DDM工具编译方法
2.CAMx-DDM工具输入文件制备
3.CAMx-DDM案例配置及运行方法
4.模拟结果后处理技术与结果解读

过程分析工具运行和结果解读

敏感性分析工具(PA)
1.CAMx-PA工具编译方法
2.CAMx-PA工具输入文件制备
3.CAMx-PA案例配置(IPR和CPA)流程及运行方法
4.模拟结果后处理技术与结果解读

基于Python的CAMx数据后处理(1)

1. Python简介
2. Python编程基础
3.Python环境安装
4.数据提取方法和脚本
5.模式模拟结果评估
6.污染物浓度监测值与模拟值时间序列分析

基于Python的CAMx数据后处理(2)

1.浓度分布图绘制
2.敏感性分析结果图形绘制
3.过程分析结果图形绘制

六、MCM箱模型实践技术应用与O3形成途径、生成潜势、敏感性分析

目前,大气臭氧污染成为我国“十四五”期间亟待解决的环境问题。臭氧污染不仅对气候有重要影响,而且对人体健康、植物生长均有严重损害。为了高效、精准地治理区域大气臭氧污染,需要了解臭氧生成的主要途径及其前体物。OBM箱模型可用于模拟光化学污染的发生、演变过程,研究臭氧的生成机制和进行敏感性分析,探讨前体物的排放对光化学污染的影响。箱模型通常由化学机理、物理过程、初始条件、输入和输出模块构成,化学机理是其核心部分。MCM (Master ChemicalMechanism)包含了约6700个有机物,大约17000个反应,可以详细描述大气气相有机物的化学过程,被广泛用于大气科学研究领域。

专题一:大气中O3形成知识基础、MCM和Atchem 2原理及Linux系统安装

1、大气中O3形成的原理知识讲解
2、MCM原理及基本流程讲解
3、Atchem 2 讲解及下载安装
4、Linux系统安装
5、Atchem 2 运行需要的其他工具
A、Fortran;B、Python;C、make, cmake

专题二:MCM建模、数据输入、模型运行及结果输出【讲解+案例操作】

1、 MCM 箱模型建立
1) 化学机理
A、 Facsimile 格式;B、RO2;C、MCM 的提取
2) 模型参数的设定
3) 环境变量
A、温度;B、大气压;C、相对湿度;D、水;E、太阳高度角;F、边界层高度;G、气溶胶表面积;
H、扩散速率;I、JFAC;J、Roof
4) 光解速率
A、常数光解速率;B、限制光解速率;C计算光解速率;D、JFAC计算
5) 各种config. 文件

2、MCM箱模型运行
3、MCM模型运行结果分析
案例:对MCM箱模型运行结果进行分析

专题三、O3形成途径、生成潜势及其敏感性分析【讲解+案例操作】

1、O3 形成途径
案例:不同反应途径对O3形成的贡献
2、O3敏感性分析Ⅰ:相对增量反应性方法(RIR)
案例:通过RIR的计算,判断O3的主要来源
3、O3敏感性分析Ⅱ:EKMA曲线绘制
1) O3 等值线数据的获得
2) EKMA曲线绘制
案例:通过EKMA曲线的绘制,判断O3的主要来源
4、O3生成潜势
案例:VOCS O3生成潜势的计算

七、基于Python机器学习、深度学习技术提升气象、海洋、水文领域实践应用能力

Python是功能强大、免费、开源,实现面向对象的编程语言,能够在不同操作系统和平台使用,简洁的语法和解释性语言使其成为理想的脚本语言。除了标准库,还有丰富的第三方库,Python在数据处理、科学计算、数学建模、数据挖掘和数据可视化方面具备优异的性能。上述优势使得Python在气象、海洋、地理、气候、水文和生态等地学领域的科研和工程项目中得到广泛应用。可以预见未来Python将成为气象、海洋和水文等地学领域的主流编程语言之一。

人工智能和大数据技术在许多行业都取得了颠覆式的成果,气象和海洋领域拥有海量的模式和观测数据,是大数据和人工智能应用的天然场景。Python也是当前进行机器学习和深度学习应用的最热门语言。对于的气象海洋领域的专业人员,Python是进行机器学习和深度学习工作的首选。

专题一、Python软件的安装及入门

1.1 Python背景及其在气象中的应用
1.2 Anaconda解释和安装以及Jupyter配置
1.3 Python基础语法

专题二、气象常用科学计算库

2.1 Numpy库
2.2 Pandas库
2.4 Xarray库

专题三、气象海洋常用可视化库

3.1可视化库介绍Matplotlib、Cartopy等
3.2 基础绘图
(1)折线图绘制
(2)散点图绘制
(3)填色/等值线
(4)流场矢量图

专题四、爬虫和气象海洋数据

(1)Request库的介绍
(2)爬取中央气象台天气图
(3)FNL资料爬取
(4) ERA5下载

专题五、气象海洋常用插值方法

(1)规则网格数据插值到站点
(2)径向基函数RBF插值
(3)反距离权重IDW插值
(4)克里金Kriging插值

专题六、机器学习基础理论和实操

6.1 机器学习基础原理

(1)机器学习概论
(2)集成学习(Bagging和Boosting)
(3)常用模型原理(随机森林、Adaboost、GBDT、Xgboost、lightGBM)

6.2 机器学习库scikit-learn

(1)sklearn的简介
(2)sklearn完成分类任务
(3)sklearn完成回归任务

专题七、机器学习的应用实例

本专题,在详细讲解机器学习常用的两类集成学习算法,Bagging和Boosting,对两类算法及其常用代表模型深入讲解的基础上,结合三个学习个例,并串讲一些机器学习常用技巧,将理论与实践结合。

7.1机器学习与深度学习在气象中的应用

AI在气象模式订正、短临预报、气候预测等场景的应用

7.2 GFS数值模式的风速预报订正
(1)随机森林挑选重要特征
(2)K近邻和决策树模型订正风速
(3)梯度提升决策树GBDT订正风速
(4)模型评估与对比

7.3 台风预报数据智能订正
(1)CMA台风预报数据集介绍以及预处理
(2)随机森林模型订正台风预报
(3)XGBoost模型订正台风预报
(4)台风“烟花”预报效果检验

7.4 机器学习预测风电场的风功率
(1)lightGBM模型预测风功率
(2)调参利器—网格搜索GridSearch于K折验证

专题八、深度学习基础理论和实操

8.1 深度学习基本理论

深度学习基本理论知识讲解,深入了解机器学习的基础理论和工作原理,掌握如何构建和优化神经网络模型(如人工神经网络ANN,卷积神经网络CNN、循环神经网络RNN等),提高对现有深度学习算法和技术的理解和应用能力,更好地应对后续海洋气象相关领域的实际问题和应用。

8.2 Pytorch库

(1)sklearn介绍、常用功能和机器学习方法
学习经典机器学习库sklearn的常用功能,如鸢尾花、手写字体等公开数据集的获取、划分训练集和测试集、模型搭建和模型验证等。
(2) pytorch介绍、搭建 模型

学习目前流行的深度学习框架pytorch,了解张量tensor、自动求导、梯度提升等,以BP神经网络学习sin函数为例,掌握如何搭建单层和多层神经网络,以及如何使用GPU进行模型运算。

专题九、深度学习的应用实例

本专题,在学习使用ANN预测浅水方程的基础上,进一步掌握如何使用PINN方法,将动力方程加入模型中,缓解深度学习的物理解释性差的问题。此外,气象数据是典型的时空数据,学习经典的时序预测方法LSTM,以及空间卷积算法UNET。

9.1深度学习预测浅水方程模式
(1)浅水模型介绍和数据获取
(2) 传统神经网络ANN学习浅水方程
(3)物理约束网络PINN学习浅水方程

9.2 LSTM方法预测ENSO
(1)ENSO简介及数据介绍
(2)LSTM方法原理介绍
(3)LSTM方法预测气象序列数据

9.3深度学习—卷积网络
(1)卷积神经网络介绍
(2)Unet进行雷达回波的预测

专题十、EOF统计分析

10.1 EOF基础和eofs库的介绍

10.2 EOF分析海表面温度数据
(1)SST数据计算距平,去趋势
(2)SST进行EOF分析,可视化

专题十一、模式后处理

11.1 WRF模式后处理
(1)wrf-python库介绍
(2)提取站点数据
(3)500hPa形式场绘制
(4)垂直剖面图——雷达反射率为例

11.2 ROMS模式后处理
(1)xarray为例操作ROMS输出数据
(2)垂直坐标转换,S坐标转深度坐标
(3)垂直剖面绘制
(4)水平填色图绘制

八、FLEXPART拉格朗日粒子扩散模式建模技术及研究大气污染物源-汇关系中的实践经验与技巧

当前,大气污染是我国重要的环境问题之一。为了高效、精准地治理区域大气污染,需要弄清污染物的来源。拉格朗日粒子扩散模式FLEXPART通过计算点、线、面或体积源释放的大量粒子的轨迹,来描述示踪物在大气中长距离、中尺度的传输、扩散、干湿沉降和辐射衰减等过程。该模式既可以通过时间的前向运算来模拟示踪物由源区向周围的扩散,也可以通过后向运算来确定对于固定站点有影响的潜在源区分布。

一、拉格朗日粒子扩散模和FLEXPART模式讲解
1、拉格朗日粒子扩散模式介绍及应用特点
2、FLEXPART模式简介及下载安装

二Linux系统及FLEXPART模式安装
1、Linux系统安装
2、Linux基本命令练习
3、FLEXPART依赖库安装
4、FLEXPART 模式编译
5、FLEXPART-WRF模式编译

三、FLEXPART模式输入及模式参数说明
1、气象场数据获取
2、FLEXPART-WRF模式参数说明
3、FLEXPART模式参数说明
4、FLEXPART模式结果后处理技术方法

四、FLEXPART模式运行练习
1、从零开始,建立FLEXPARF-WRF运行案例
2、从零开始,建立FLEXPARF运行案例
3、FLEXPART输出结果后处理工具工具安装
4、FLEXPART后处理工具使用练习

五、FLEXPART应用案例配置、运行及后处理
1、输出区域调整案例(对比分析)
2、污染物扩散及浓度分析
3、污染来源区域分析
4、气团轨迹分析
5、温室气体模拟案例

九、基于SMOKE多模式排放清单处理技术及EDGAR/MEIC清单制作与VOCs排放量核算

随着我国经济快速发展,我国面临着日益严重的大气污染问题。近年来,严重的大气污染问题已经明显影响国计民生,引起政府、学界和人们越来越多的关注。大气污染是工农业生产、生活、交通、城市化等方面人为活动的综合结果,同时气象因素是控制大气污染的关键自然因素。大气污染问题既是局部、当地的,也是区域的,甚至是全球的。本地的污染物排放除了对当地造成严重影响外,同时还会在动力输送作用下,极大地影响下风向地区的大气环境状况。数值模式模拟是分析大气污染物时空分布和成分贡献的重要工具,利用模拟结果可以分析大气污染的来源、成因、污染程度、持续时间、主要成分、相对贡献等问题,有助于分析并合理控制污染源排放,为产业调整提供参考。当前,针对不同理论、用途和设计理念,国内外已经研发出了多种空气质量模式。这些模式被广泛应用于空气质量预报预警系统建立、大气污染防治、环境影响评价等工作中。

大气污染物排放是空气污染的源头,气象因素是影响污染程度的重要因素,因此空气质量模式要求气象资料和污染物排放清单作为输入,其中由于大气污染源复杂性、数据滞后性、动态变化、规律性不明显等特点,使得大气污染源排放清单输入准备工作成为其中的重点和难点。

【目标】:

1、掌握大气污染源排放清单不确定性来源及定量分析方法;
2、以VOCs排放为例,掌握排放源核算及组分清单建立方法;
3、掌握基于SMOKE模型的大气污染源排放清单处理技术方法;
4、掌握基于SMOKE的多模式排放清单输入制备方法;
5、通过案例分析实践掌握在CMAx、CMAQ、WRF-chem等模式中的应用方法;
6、通过实例运行掌握EDGAR/MEIC清单处理技术方法;

【内容简述】:

大气污染源排放清单编制、处理和不确定性分析技术方法; 1.城市大气排放清单编制方法讲解;2.排放清单不确定性分析技术方法;3.排放清单不确定性及模式调试;4.排放清单处理技术讲解及流程;5.SMOKE/MEGAN模型讲解;
排放量核算(VOCs排放为例)和不确定性分析技术; 操作:1.污染物排放量核算(溶剂使用源VOCs排放为例);2. 组分排放清单建立(VOCs组分清单为例);3. LINUX的基本命令操作;4.排放系数不确定性分析操作;5.排放清单不确定性分析操作;
SMOKE本地案例建立方法; 1.基于SMOKE本地排放清单处理案例方法;2.污染源分类及文件准备方法;3.区域代码编制及文件准备方法;4.大气污染源时间特征调查和时间谱文件准备方法;5.基于模式大气化学机制的污染源成分谱及文件准备方法;6.以网格排放清单作为输入的SMOKE输入准备
SMOKE/MEGAN安装及测试 操作:1.SMOKE环境配置及注意事项;2.SMOKE输出绘图工具安装3.SMOKE模型安装编译4.SMOKE测试案例运行;5.MEGAN模型本地案例;
SMOKE输入文件准备练习 操作:1.Spatial Allocator安装配置2.面源空间分配系数建立3.时间谱文件准备操作
SMOKE本地案例配置与调试操作 操作:1. 点源及面源排放清单输入文件准备;2.SMOKE本地案例配置与调试;3、排放清单整合与CMAQ-ready排放清单输出;
CMAQ/CAMx案例运行 操作:1. CAMx模式数据转换接口安装2. 多模式的模拟区域设置说明3. CMAQ案例运行4. CAMx案例运行
WRF-Chem模式案例运行 操作:1. WRH-Chem模式数据转换接口安装2. WRF-Chem案例运行3. 提问
基于SMOKE的全球排放清单(EDGAR)处理案例 操作:1. 案例配置说明2. 输入文件准备3. SMOKE-EDGAR案例运行4. 结果检查
基于SMOKE的全国排放清单(MEIC)处理案例 操作:1. 案例配置说明2. 输入文件准备3. SMOKE-MEIC案例运行4. 结果检查

十、Python在WRF模型自动化运行及前后处理中实践技术

当今从事气象及其周边相关领域的人员,常会涉及气象数值模式及其数据处理,无论是作为业务预报的手段、还是作为科研工具,掌握气象数值模式与高效前后处理语言是一件非常重要的技能。WRF作为中尺度气象数值模式的佼佼者,模式功能齐全,是大部分人的第一选择。而掌握模式还只是第一步,将数值模式的结果进一步加工成我们业务或科研需要的产品,也是一项重要工作,以当前的趋势而言,python语言当仁不让的成为首选。
对大部分人而言,特别是新用户,WRF模式的安装繁琐且不必要,可以作为后续进阶掌握的技能,本此课程跳过繁琐的安装步骤,直接聚焦模式的运行部分,通过短平快的教学,快速掌握模式运行。进一步的,将python语言与WRF模式运行结合,让模式运行自动化,提升科研和业务的工作效率。同时,掌握python在WRF前后处理的常用场景,包括数据处理、可视化绘图等。
掌握WRF模式+Python语言的结合应用,可在气象、海洋、地理、气候、水文和生态等地学领域的业务、科研和工程项目中得到实际有效的应用。

【内容简述】:

专题一 、WRF 基础与
Linux 基础
1 WRF 基础与 Linux 基础
1.1 WRF 模式的理论知识与应用前景
WRF 动力理论简介
WRF 模式代码框架
WRF 模式应用前景
1.2 Linux 知识与基本操作
Linux 基本命令
设置定时任务
超算提交任务
1.3 WRF 模式安装
基础库安装(GNU 编译器、zlib、libpng、jasper、hdf5、netcdf4、mpich2)
WRF/WPS 安装

专题二 、WRF 模式运行
2.1 WRFDomainWizard 设置模拟区域
2.2 WPS(geogrid, ungrib, metgrid) 前处理
GFS/FNL/ERA5 资料驱动、嵌套模拟
2.3 WRF(real.exe, wrf.exe) 积分运行
参数化方案设置
常用参数的使用经验
2.4 Restart 断点续跑
2.5 如何得到更好的 WRF 模拟结果(WRF 运行经验和注意事项)

专题三 、Python 基础
3.1 python 安装和基础语法
3.2 python 常用的气象数据处理库
numpy, datetime, pandas, scipy, netcdf-python
3.3 python 气象绘图基础
1)折线图绘制
2)填色及等值线+地图
3)流场矢量+地图
4)地图绘制(cartopy)

专题四、WRF 应用案例介绍
4 WRF 案例
4.1 西北太平洋台风模拟
4.2 强天气过程—冰雹个例模拟
4.3 WRF-solar 模拟太阳辐射

专题五 、python 助力WRF 自动化运行
5 python 助力 WRF 自动化运行
5.1 python 自动运行 WRF 历史个例
5.2 搭建自动化的 WRF 业务化预报系统
1)python 自动下载 GFS 实时预报资料
2)python 自动运行 WRF 预报系统
3)python 自动发送邮件提示 WRF 运行结果

专题六 、WRF 模式前后处理
6 WRF 模式前后处理
6.1 WRF 后处理简介
6.2 wrf-python 库介绍
6.3 python 绘制 WRF 模拟区域和地形
6.4 python 提取站点预报要素并绘图
6.5 python 绘制 500hPa 高空形式场
6.6 python 绘制雷达反射率 DBZ 垂直剖面
6.7 python 绘制 700hPa 水汽场
6.8 python 绘制地面降雨场

十一、地球科学常见数据的处理实践技术应用

在地球科学中,不同数据根据具体学科的特色存储为多种数据格式。在科研工作中需要将多种数据进行综合使用分析,因此需要寻找学习通用的数据格式解决方法,把研究的精力聚焦到具体科学问题上。

针对上述问题,本内容选取大气科学、水文学和生态学常见的数据进行讲解。

讲解的主要格式:
l 全球大气再分析数据netCDF
l 雪深ASCII
l 积雪覆盖ASCII/TIFF
l 海温数据netCDF
l 植被指数数据NDVI
l 土地利用数据HDF

需要的处理工具:
Anaconda 5.0+(python 3.6)、xarray==0.13、netcdf4==1.5.3、rasterio、pandas、pyhdf、fiona、shapely、gdal

十二、区域气象-大气化学在线耦合模式(WRF/Chem)在大气环境中的应用

随着我国经济快速发展,我国面临着日益严重的大气污染问题。近年来,严重的大气污染问题已经明显影响国计民生,引起政府、学界和人们越来越多的关注。大气污染是工农业生产、生活、交通、城市化等方面人为活动的综合结果,同时气象因素是控制大气污染的关键自然因素。大气污染问题既是局部、当地的,也是区域的,甚至是全球的。本地的污染物排放除了对当地造成严重影响外,同时还会在动力输送作用下,极大地影响下风向地区的大气环境状况。数值模式模拟是分析大气污染物时空分布和成分贡献的重要工具,利用模拟结果可以分析大气污染的来源、成因、污染程度、持续时间、主要成分、相对贡献等问题,有助于分析并合理控制污染源排放,为产业调整提供参考。模拟结果可以分析跨区域的污染物输送问题,可以计算碳、氮等成分的干湿沉降通量,由此估算大气污染物对植被和土壤等生态系统的潜在影响。模拟结果还可以在环境及能源评估、环境评价和规划、产业结构、环境承载容量变化、生态系统稳定性和变化等领域进行进一步的解析再应用。

【学习目标】:
1.掌握WRF-Chem模式原理、调试、运行方法。
2.通过案例操作掌握WRF-Chem模式数据准备、前处理及相关参数设置方法。
3掌握模拟结果后处理及作图(ARWPOST、NCL等软件操作)方法。
4.通过案例分析操作掌握WRF-Chem在大气环境(PM2.5、臭氧)、能见度、城市化方面应用。
5.本课程针对学员实际项目中遇到的问题进行指导。

【专家】:
主讲专家来自高等院校教师,长期从事大气环境、气溶胶模拟和辐射效应方向的研究工作,具有丰富的实践经验,主持参与完成多项科研课题。

【内容简述】:

十三、基于CAMx的空气质量模拟及污染来源解析技术与案例分析

随着我国经济快速发展,我国面临着日益严重的大气污染问题。大气污染是工农业生产、生活、交通、城市化等方面人为活动的综合结果,同时气象因素是控制大气污染的关键自然因素。大气污染问题既是局部、当地的,也是区域的,甚至是全球的。本地的污染物排放除了对当地造成严重影响外,同时还会在动力输送作用下,极大地影响下风向地区的大气环境状况。数值模式模拟是分析大气污染物时空分布和成分贡献的重要工具,利用模拟结果可以分析大气污染的来源、成因、污染程度、持续时间、主要成分、相对贡献等问题,有助于分析并合理控制污染源排放,为产业调整提供参考。当前,针对不同理论、用途和设计理念,国内外已经研发出了多种空气质量模式。这些模式被广泛应用于空气质量预报预警系统建立、大气污染防治、环境影响评价等工作中。

CAMx模型是一个基于大气化学,针对臭氧、颗粒物和雾霾天气过程的大气污染物计算模型。该模型由安博(Ramboll)技术团队在美国国家环保局和许多州立环保部门的支持下不断开发和完善。美国国家环保局利用CAMx来评估国家减排计划带来的臭氧和PM浓度降低效果,很多州则使用CAMx来制定当地的减排计划。在过去的20年里,该模型也逐步应用于亚洲(包括中国)、欧洲、非洲、澳大利亚和美洲等多个国家和地区。

【学习目标】:
1、掌握基于CAMx模式的区域空气质量模拟案例配置技术方法;
2、掌握基于SMOKE模型的CAMx模式大气排放清单输入准备方法;
3、掌握基于CAMx模式污染来源解析工具(SA)案例配置技术方法。

【专家】: 来自大气污染源研究领域的高级专家,长期从事大气污染源排放清单编制、污染来源解析研究、大气排放清单处理技术方法、空气质量模式应用研究,拥有丰富的大气排放源清单处理、污染来源解析和空气质量模拟经验。

【内容简述】:

十四、系统学习CMAQ空气质量模式

空气污染问题日益受到各级政府以及社会公众的高度重视,从实时的数据监测公布到空气质量数值预报及预报产品的发布,我国在空气质量监测和预报方面取得了一定进展。随着计算机技术的高速发展、空气污染监测手段的提高和人们对大气物理化学过程认识的深入,开发并利用先进的大气化学模式进行我国空气质量的预测预报、对于减少大气污染灾害、提高人民生活质量都具有积极的意义。空气质量预报模式系统(WRF-CMAQ)和污染源处理技术是目前大范围灰霾天气预警及综合治理的重要手段,其在全国的推广应用将有利于提高实际的业务预报水平、增强防灾减灾能力、取得显著的社会经济效益。

【专家】
程老师【研究员】:长期从事空气质量模拟改进科研工作,自主研发了多种污染源反演方法和基于三维变分的气溶胶激光雷达资料同化技术,拥有十几年使用CMAQ模式的实际操作经验,在多所高校讲授过CMAQ模式。熟悉从模式安装、运行、解译到模式结果展示的各个方面,特别关注CMAQ模式在环境、气象等领域应用推广。

【内容简述】:

十五、高精度气象模拟软件WRF(Weather Research Forecasting)技术及案例应用

气候是多个领域(生态、水资源、风资源及碳中和等问题)的主要驱动因素,合理认知气候变化有利于解释生态环境变化机理及过程,而了解现在、未来气候变化则是进行生态、环境及能源评估、碳政策规划的先决条件,而气候模拟是获取高精度气候信息的最主要手段,现代生态、水文、新能源及碳中和领域需要亚公里及更高分辨率的气象模拟,WRF模式是国内外应用最为广泛的气象模式,使用该模式进行高精度甚至几百米的模拟应用也越来越多。另一方面,该模式不断扩展模式模块,现在已经可以实现对气溶胶及化学过程(WRF-CHEM)、资料同化(WRF-DA)、水文过程(WRF-HYDRO)、城市化(URBAN)等过程的精细模拟,其应用范围及实际业务及科研应用也越来越多。

注:请提前自备电脑及安装所需软件。

十六、CMIP6数据处理

国际耦合模式比较计划进入新的阶段——第六阶段(CMIP6),这将为气候变化研究领域提供更丰富的全球气候模式数据。相比于 CMIP5,CMIP6 模式有两个主要的特点:一是 CMIP6 考虑的过程更为复杂,很多模式实现了大气化学过程的双向耦合;二是大气和海洋模式的分辨率显著提高,其中大气模式的最高水平分辨率可达到全球 25km。除此,CMIP5 的 RCP 情景只考虑了未来 100 年达到稳定 CO2 浓度以及相应辐射强迫的目标,并没有针对特定的社会发展路径,而 CMIP6 中的新的共享社会经济路径充分考虑了这一点,提供了更加多样化的排放情景,可以对减缓适应研究以及区域气候预估提供更加合理的模拟结果,因此在很大程度上弥补了 CMIP5 中 RCP 情景的不足。

在国际耦合模式比较计划中,GCM 为构建气候变化提供了全球大尺度的信息,但是在针对区域尺度开展气候研究时,相对较低的分辨率信息对区域气候变化预估产生较大偏差.降尺度方法在将大尺 度信息转化为区域尺度上发挥着重要作用,包括动力降尺度、统计降尺度以及二者相结合的方法等。

配套数据:

赠送 CMIP6 月数据( 500G+)

赠送 CMIP6 日数据(1.8T+

赠送全球 VIPPHEN 物候数据( 40G+)

赠送 ERA5-LAND 陆面再分析数据( 5T 左右)

包含 11 个变量:温度、气压、辐射、蒸发、降水、湿度

内容简述:

注:请自行准备学习所需环境。

生态模型软件:DSSAT、Biome-BGC、InVEST、Meta分析、CASA、CENTURY、ArcGIS、无人机生态

大气模型软件:WRF、CMAQ、SMOKE、MCM、CAMx、Calpuff、人工智能气象、WRFchem、PMF

Logo

脑启社区是一个专注类脑智能领域的开发者社区。欢迎加入社区,共建类脑智能生态。社区为开发者提供了丰富的开源类脑工具软件、类脑算法模型及数据集、类脑知识库、类脑技术培训课程以及类脑应用案例等资源。

更多推荐