数据资产如何量化?盘点数据资产价值评估方法与计算模型
随着数据资产在企业运营中扮演的角色日益重要,对这些资产进行准确评估的需求也变得愈发迫切。本文通过深入探讨不同的数据价值评估方法,旨在为企业提供一个全面的视角,帮助它们更好地理解和量化数据资产的真实价值。通过成本法、市场法、收益法和综合评估法等多元化的评估手段,企业可以根据自身的具体需求和行业特点,选择最合适的评估模型。在实施数据资产评估的过程中,企业不仅能够优化资源配置,提高决策质量,还能够在激烈
在当今的数字经济中,数据资产已经成为企业最宝贵的资源之一。数据的价值不仅体现在其规模上,更在于它能够为企业带来深刻的洞察力和决策支持。然而,数据资产的价值评估并非直观可见,它需要一套系统的方法来量化和分析。准确评估数据资产的价值对于企业资源配置、投资决策、风险管理和商业策略的制定都至关重要。
数据价值评估方法的核心在于识别和衡量数据资产对企业目标的贡献程度。这包括了对数据的质量、稀缺性、时效性、可访问性以及数据能够带来的潜在经济利益的评估。随着数据资产的复杂性和多样性不断增加,传统的财务评估方法已经难以满足当前的需求,因此,开发和应用新的数据价值评估方法显得尤为迫切。
本文将专注于探讨数据资产评估方法中的数据价值评估方法。在进行评估时,需要根据具体的行业特点和应用场景,选择恰当的量化手段来处理评估目标的关键因素,以获得一个合理的评估结果。评估方法主要涵盖成本法、市场法、收益法和综合评估法等。

一、 成本法
成本法是一种评估方法,它依据数据资产在形成过程中所投入的劳动和发生的成本来衡量其价值。以下是采用成本法进行数据资产评估时需考虑的前提条件和要求:
1、成本法使用前提
- 评估对象应当处于可正常使用或在用状态。
- 评估对象可以通过重置的方式重新获得。
- 能够对评估对象的重置成本及其折旧进行合理的估算。
- 数据资产的质量应满足应用场景下的可接受标准。
2、成本法评估要求
- 数据资产的价值评估应基于其重置成本,即在评估时点重新获取该数据资产所需成本。
- 评估过程中需考虑税费、利润等影响因素。
- 成本要素应全面反映重置成本的构成,为评估提供一个完整的成本视图。
通过成本法,评估人员可以对数据资产的价值进行量化,确保评估结果的客观性和准确性。
更多详细内容,推荐下载《大数据建设方案》:
https://s.fanruan.com/5iyug
分享行业真实的数字化转型案例,以及方案架构图
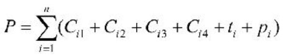
3、 成本法模型
以下是成本法的公式模型:

其中,P 代表待评估的数据资产的整体价值。
Ci1 表示每个单独数据集在规划阶段的重置成本。
Ci2 指的是每个数据集在构建阶段的重置成本。
Ci3 涉及每个数据集在维护期间的重置成本。
Ci4 包括每个数据集的其他相关重置成本。
n 为纳入评估范围内的数据集的总数。
ti 代表与每个数据集流通相关的税费。
pi 表示每个数据集在流通过程中预期的利润。
这些参数共同构成了数据资产评估的成本法基础,通过它们可以计算出数据资产的重置成本,并进一步评估其市场价值。
二、 市场法
市场法是一种评估方法,它依据存在公开且活跃交易市场的条件,通过参照近期或往期类似数据资产的成交价格,并适当调整特定个性化因素,来确定估值。以下是使用市场法进行数据资产评估时需考虑的前提条件和要求:
1、市场法使用前提
(1)评估对象应有可比的参照物,且这些参照物在公开市场上有活跃的交易。
(2) 能够获取相关的交易信息,包括交易价格、时间、条件等。
2、 市场法评估步骤
(1)筛选
在市场中寻找与评估对象相同或相似的数据资产或交易活动作为参照。评估要素提供了筛选过程中所需的比较维度和依据。评估专业人员应依据评估对象的特性,选择相应的比较维度,如市场、数量、价值影响因素、交易时间(接近评估基准日)、交易类型(与评估目的相匹配)等,以确定正常或可调整为正常交易价格的参照物。
(2)调整
通过对比评估对象和所选参照物,确定调整系数,并对影响价值的因素及交易条件的差异进行合理修正,从而得出评估对象的准确价值。一个成熟、参照物多样、交易活动丰富的数据市场,有助于进行更精细的数据资产估值。
市场法依赖于市场上可比较交易的可用性和信息的透明度,是评估数据资产价值的一种实际和市场导向的方法。
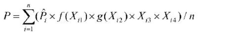
3、市场法模型
市场法的模型如下:

其中:
P 代表需要评估的数据资产的总价值。
P^i 表示每个参照数据集的市场价格或成交价。
n 是参与评估的数据集的总数。
f(Xi1) 是一个基于经验的质量调整系数函数,它考虑了行业经验和应用场景等因素的影响。
g(Xi2) 是一个供求调整系数函数,同样基于行业经验和应用场景等经验性因素。
Xi3 代表特定时间点的调整系数,用于反映评估时点对数据资产价值的影响。
Xi4 是数据集数量的调整系数,用于根据数据集的规模或数量调整其价值。
Xi1 可通过如下公式计算:

其中qi 代表每个待评估数据集的数据质量评估得分;q^i 表示每个参照数据集中的数据质量评估得分。
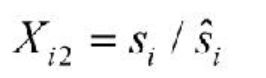
Xi2可通过如下公式计算:

其中:
si表示每个待评估数据集的供求状况指标,该指标是通过将该数据集的两个关键流通要素——市场规模和稀缺性——相乘得出的。
s^i 代表每个参照数据集的供求状况指标,这一指标是通过该数据集的两个流通要素——市场规模和稀缺性——相乘来计算得出的。
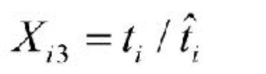
Xi3 的计算可通过以下公式进行:

在该公式中,ti 表示每个待评估数据集在特定行业交易时点的居民消费价格指数;t^i 指的是每个参照数据集在相应行业交易时点的居民消费价格指数。
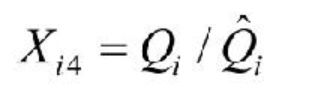
Xi4 的计算方法可以按照下面的公式进行:

其中,Qi 代表每个待评估数据集的总量,这一数量是通过将数据集中的字段数与记录数相乘得出的;Q^i 指的是每个参照数据集中的元素总数。
三、 收益法
收益法是一种通过预测评估对象的未来收益,选择合适的折现率,并将其预期收益折现到现值来确定资产价值的方法。这种方法建立在假设数据资产在未来能够产生盈利和具有内在价值的基础上。
1、使用前提
数据资产评估专业人员在选择和使用收益法时,应确保以下条件:
- 评估对象的未来收益可以合理预测并以货币形式计量;
- 能够量化预期收益所对应的风险,即折现率;
- 评估对象的预期寿命可以确定或合理预测。
2、要求
在确定预期收益时,专业人员应考虑:
- 预期收益的类型和范围,如收入、利润、股息或现金流等,以及收益是税前还是税后,名义还是实际收益; 对于无法直接通过经济收益衡量的数据资产,如公共数据资产,应从社会价值角度评估其价值;
- 评估收益预测所依据的财务信息、假设和评估目的的适当性;
- 确定预期获利年限时,应考虑评估对象的预期寿命、法律法规、相关合同等因素,并选择一个合理的详细预测期限;
- 折现率应反映资金的时间价值和与收益类型及评估对象未来经营相关的风险,同时与所选收益类型相匹配;
- 数据资产的预期经济收益是指因使用数据资产而带来的额外收益,而数据资产的收益现金流是指扣除其他资产贡献后的现金流。确定数据资产现金流的方法可以是增量收益、收益分成或超额收益等。在确定预期经济收益时,应剔除与评估数据资产无关的业务收益,并关注相关行业的市场情况。
收益法是一种前瞻性评估方法,它要求评估人员具备对市场、技术趋势和未来经营情况的深刻理解,以及对财务分析和风险评估的专业能力。通过这种方法,可以更准确地捕捉数据资产的潜在价值和盈利能力。
3、 收益法模型
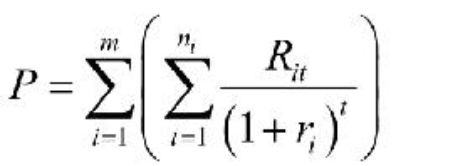
收益法的实现可通过以下公式模型进行计算:

其中,P 表示待评估数据资产的估值。
Rit 代表在第 t 年中,第 i 种应用所产生的预期收益。
ni 是第 i 种应用的预期使用寿命,它定义为数据资产预期能够继续产生价值的时间长度,通常取自然收益期与合规收益期两者中的较小值。
ri 是折现率,用于将未来预期收益转换为当前价值的比率,该比率反映了数据资产的财务成本和相关风险。
(1)预期收益计算模型
- 基于数据服务或产品的交易
当商业模式涉及数据服务或数据产品交易(例如,按次收费的图片自动识别服务、数据查询服务、直接授权第三方使用数据等),数据资产与产权持有人提供的服务或产品直接相关时,适宜采用超额收益模型来估算预期收益。预期收益可以通过直接估算法或差额法来确定。
直接估算法
直接估算法的实现模型如下:

其中:
Rit 代表第 i 种应用在第 t 年的预期收益;
P1 是使用数据资产前的产品价格;
P2 是使用数据资产后的产品价格;
Q1 是使用数据资产前的销售数量;
Q2 是使用数据资产后的销售数量;
C1 是使用数据资产前的单位成本;
C2 是使用数据资产后的单位成本;
T 是产权持有人适用的所得税税率。
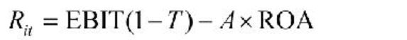
差额法
差额法的实现模型如下:

其中:
Rit 代表第 i 种应用在第 t 年的预期收益;
EBIT(1-T) 是产权持有人的息前税后利润;
A 是产权持有人的资产总额;
ROA 是行业平均资产回报率。
这两种方法都可以用来估算数据资产对产权持有人带来的经济利益,从而为数据资产的价值评估提供依据。直接估算法侧重于产品价格和销售数量的变化,而差额法则侧重于资产回报率与行业平均水平的差异。
在对产权持有人的利润进行预测时,可以结合自上而下和自下而上的方法,考虑行业周期、竞争状况、政策方向、组织地位和经营历史等因素,合理预测财务报表的各项数值,并据此计算利润:
收入预测:应细化到产品销售的数量、单价和种类。由于基于数据的产品和服务通常不涉及运输成本,因此在收入预测时,可以不必考虑地区因素。
成本预测:需要分别估计固定成本和可变成本,而数据资产的可变成本通常较小,甚至可以忽略。
- 利⽤数据改善⾃⾝产品或服务计算Rit
当产权持有人利用数据资产来提升其产品或服务时,类似于专利的作用,可以采用评估专利的分成率法来确定预期收益。分成率法包括销售分成率法和利润分成率法,分别对应数据资产对销售和利润的贡献。选择与数据资产关系稳定的收益计算方法应基于行业特性和历史经验。
收益测算:结合自上而下和自下而上的方法,对产权持有人的利润表进行预测,包括预测产品销量、单价、生产成本、制造费用、管理费用和销售费用。在需要时,还应对资产负债表进行预测,并根据预测结果计算利润或销售额。
分成率评估:通过分析影响分成率的各个因素(包括法律、技术和经济因素),评估这些因素对分成率的影响程度。然后,根据多位专家确定的因素权重,使用层次分析法等技术确定最终的分成率。
(2)WACC(加权平均资本成本)倒算法
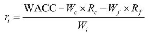
当存在可比上市公司的情境下,可以通过WACC(加权平均资本成本)倒算法来确定数据资产的折现率(ri)。这种方法适用于计算无形资产的折现率,其计算公式如下:

ri 代表折现率;
WACC 代表加权平均资本成本;
Wc 代表流动资产在资本结构中的权重;
Rc 代表流动资产的预期投资回报率;
Wf 代表固定资产在资本结构中的权重;
Rf 代表固定资产的预期投资回报率;
Wi 代表无形资产在资本结构中的权重。
通过这个公式,可以将公司的资本成本分解为不同资产类别的权重和相应的回报率,从而计算出用于数据资产评估的折现率。
评估过程如下:
- 选择参照公司:评估的第一步是确定可比上市公司。理想的参照公司应满足以下条件:拥有至少三年的上市记录、在过去三年中实现盈利、其主营业务应与被评估资产的目标市场一致,以及该公司的股票价格波动应与整体市场指数保持一定的相关性。通常,会选择五家符合条件的上市公司作为参照。
在计算加权平均资本成本(WACC)的过程中,以下为涉及的关键要素和计算方法的改写:
- 确定WACC
计算WACC的公式如下:

其中,WACC表示加权平均资本成本。
Rf 代表固定资产投资的回报率。
Rm 代表市场的预期收益率。
Rd 代表无风险利率,通常采用最近发行的、期限超过十年的国债的票面利率来计算。
β表示风险系数,用于衡量公司股票相对于整个市场的风险。
Rs 为产权持有人的特殊风险调整,连同 Rf+β(Rm-Rf)+Rs一起构成股权投资的预期回报率。
T 为适用的税率。
E 为可比上市公司的股权市场价值。
D 为可比上市公司的付息债务市值。
在计算股权投资回报率时,资本资产定价模型(CAPM)被用来作为确定该比率的方法。具体来说:
无风险利率:选取最新发行的、期限超过十年的国债,使用其票面利率来计算到期收益率,以此作为无风险利率的参考。
市场收益率:依据上市公司所在的市场,选择适当的市场指数,如沪深300指数或标普500指数,并采用这些指数近十年的几何平均值作为市场收益率的估计。
公司特殊风险调整(Rs):在模型中,除了市场风险外,还需考虑公司特有的风险因素。在此,特殊风险调整主要考虑公司规模对投资回报率的影响,其值可以通过行业经验数据或统计回归分析得出。
- 无形资产回报率的确定
流动资产的价值基于运营资金来确定。固定资产的价值则依据其账面净值以及长期投资的账面净值来计算。流动资产的预期投资回报率将参照一年期银行平均贷款利率。固定资产的预期投资回报率则依据五年以上期限的银行平均贷款利率。
- 缺乏流动性折扣的估算
为了估算流动性不足所带来的影响,可以采用两种方法:1、使用行业内的经验值来直接估算流动性折扣。2、应用实物期权法对可比上市公司的流动性折扣进行计算,然后取其平均值作为参考。
(3)使用累加法计算
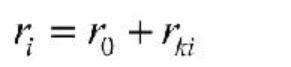
当不依赖可比上市公司数据来计算无形资产的折现率时,可以采用累加法来确定数据资产的折现率,计算公式如下:

在这个公式中:
r0 指的是无风险收益率;
rki 是指与第 i 个应用相关的风险收益率,需要综合考虑技术风险、市场风险、竞争风险和管理风险等。
一般而言,层次分析法(AHP)用于分别确定这些风险因素。
四、综合法
综合法是一种将成本法、市场法和收益法得出的数据资产价值通过加权计算得出最终价值的方法。
1、权重选择
在选择成本法、市场法和收益法各自计量数据资产价值的权重系数时,应考虑市场条件和环境因素的综合影响。
2、计算模型
综合法的计算模型可以用以下公式表示:

其中:
P 代表待评估数据资产的总价值。
P1 是通过成本法计算得出的数据资产价值。
P2 是通过市场法计算得出的数据资产价值。
P3 是通过收益法计算得出的数据资产价值。
α1是成本法价值的权重系数。
α2 是市场法价值的权重系数。
α3 是收益法价值的权重系数。
通过这种方法,可以综合不同评估方法的结果,得出一个更加全面和均衡的数据资产价值估计。
五、总结
随着数据资产在企业运营中扮演的角色日益重要,对这些资产进行准确评估的需求也变得愈发迫切。本文通过深入探讨不同的数据价值评估方法,旨在为企业提供一个全面的视角,帮助它们更好地理解和量化数据资产的真实价值。通过成本法、市场法、收益法和综合评估法等多元化的评估手段,企业可以根据自身的具体需求和行业特点,选择最合适的评估模型。 在实施数据资产评估的过程中,企业不仅能够优化资源配置,提高决策质量,还能够在激烈的市场竞争中获得先机。
随着技术的不断进步,新的评估工具和方法也在不断涌现,这为数据资产评估提供了更多可能性。企业应持续关注这些新兴技术,不断更新和完善自己的评估体系,以确保在数据驱动的商业环境中保持竞争力。
更多推荐


所有评论(0)